
近日,物理系计算物理团队陈亚江副教授与俄罗斯HSE University的A. A. Shanenko教授和A. A. Bulekov博士、南京晓庄学院张文辉教授合作,在国际知名期刊《The Journal of Physical Chemistry Letters》上发表了题为“Yu-Shiba-Rusinov States in s-Wave Kagome Superconductors: Self-Consistent Bogoliubov-de Gennes Calculations”学术论文。
硕士研究生丁帅博为第一作者,陈亚江副教授为通讯作者,浙江理工大学为第一论文署名单位。该工作得到了浙江理工大学科研启动科学基金和俄罗斯高等经济研究大学基础研究项目的支持。
工作介绍:
Yu-Shiba-Rusinov (YSR)态是超导体中由磁性杂质引发的束缚态,能帮助理解磁性杂质如何局部影响超导性,对于研究杂质和超导体之间的相互作用机制也至关重要。此外,YSR态与拓扑超导性密切相关,对未来的量子计算有潜在的应用。YSR态也提供了一个研究新型量子现象的平台,有助于推动新材料和量子技术的发展。
最近,Kagome超导体中的YSR态已经成为理论建模和实验研究的热门课题。然而,要深入理解Kagome晶格中磁性杂质附近的局部超导性及其如何依赖于杂质与电子之间的相互作用强度J,仍需要进一步的研究。
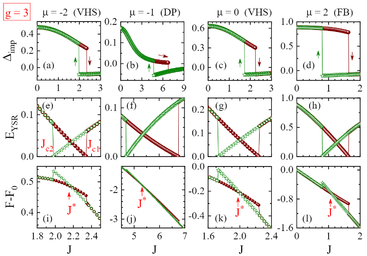
该工作自洽地求解了带有单个经典磁性杂质的s波超导Kagome模型的Bogoliubov-de Gennes方程。发现随着J的增加,杂质附近的局部超导对势被系统性压制,这与先前在方形和三角晶格上得到的结果类似。当J进一步增大时,系统将经历一阶相变,形成稳定态和亚稳态,使得相关物理量中存在磁滞现象。这种相变将致使稳定的YSR态在任意J下的最低能量均不为零,这与假设配对势恒定时的预期不同。而且这种一阶相变的特性对化学势在Kagome能谱中的位置非常敏感。

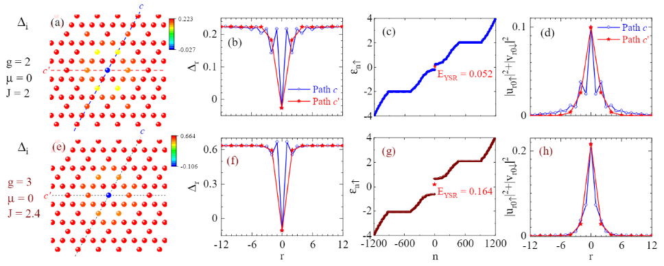
图1 零温和零化学势下的自洽数值计算结果,参数为(g, J) = (2, 3)和(3, 2.4):(a, e) 磁性杂质附近超导对势的等高线图;(b, f) 杂质附近沿c和c′方向的对势空间分布;(c, g) 准粒子能谱与YSR态能量;(d, h) YSR 态的波函数空间分布。

图 2杂质处的超导对势值(a-d)、YSR态能量(e-h)、自由能(i-l)随磁-自旋耦合常数J的变化关系。红色圆点和蓝色星标的曲线分别代表J上升分支和J下降分支。Jc1和 Jc2为零能YSR态的上临界和下临界耦合值。J∗为一阶相变点,与自由能最小的稳定YSR态能量相对应。
论文信息:
Shuaibo Ding, Yunfei Bai, A. A. Bulekov, Wenhui Zhang, A. A. Shanenko, and Yajiang Chen∗, Yu-Shiba-Rusinov States in s-Wave Kagome Superconductors: Self-Consistent Bogoliubov–de Gennes Calculations, J. Phys. Chem. Lett. 15, 9084-9091 (2024).
URL: https://doi.org/10.1021/acs.jpclett.4c02322
DOI: 10.1021/acs.jpclett.4c02322